注意:此页面搜索的是所有试题
西南石油大学土木工程施工与组织(专升本)

·

·

·

·


则( )成立。·

·

·

·


· 1/2
· 1/4
· 1/3
· 2/5
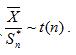
设( 4,6,4,3,5,4,5,8,4,7 )是来自总体 的一个样本值,则样本均值
=()。· 2
· 3
· 4
· 5
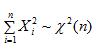
设总体
,样本容量为n,已知在显著性水平0.05下,检验
,的结果( )。·一定接受

·一定拒绝

·不一定接受

·不一定拒绝

设A与B互为对立事件,且
,
,则下列各式中错误的是( )·

·

·

·

设A,B为两个随机事件,且
,则
( )·

·

·

·1
设随机变量X的概率密度为
,则
( )·

·

·

·1
设二维随机变量
的概率密度为
,则常数
( )·

·

·2
·4
设随机变量X服从参数为2的泊松分布,则下列结论中正确的是( )
·
,
·
,
·
,
·
,
设随机变量X与Y相互独立,且X~
,Y~
,令
,则
( )·1
·3
·5
·6
设每次试验成功的概率为
,则3次独立重复试验中至少有两次成功的概率为( )·

·

·

·

设随机变量
,且
,则参数n,p的值分别为( )·4和0.6
·6和0.4
· 8和0.3
·3和0.8
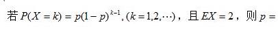
国际经济组织是凌驾于成员国之上的,拥有对各成员国发号施令的权力。
·正确
·错误
在技术服务和咨询中,服务方所提供的技术既可以是专利技术专有技术,又可以是普通技术。
·正确
·错误