注意:此页面搜索的是所有试题
佳木斯大学语言治疗学
商务交易过程中的所有的单据和事物操作的过程即( )
·商流
·物流
·信息流
·资金流
设事件
与
互不相容,且
,
,则下面结论正确的是( )
·
与
互不相容
·
·
·
.
设两个相互独立的随机变量X与Y的方差分别是4和2,则随机变量3X-2Y的方差是( )
·8
·16
·28
·44
在一个确定的假设检验中,与判断结果相关的因素有( )
·A样本值与样本容量
·C同时成立
·检验统计量
·A,B,C同时成立
在统计假设的显著性检验中,下列说法错误的是( )。
·拒绝域和接收域的确定于显著性水平
有关;
·拒绝域和接收域的确定与所构造的随机变量的分布有关;
·拒绝域和接收域随样本观测的不同而改变;
·拒绝域和接收域是互不相交的。
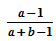
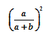
一盒产品中有a 只正品,b 只次品,有放回地任取两次,第二次取到正品的概率为()
·
·
·
·
若a,b为常数,则D(aX+b)=aDX( )。 正确 错误
·正确
·错误
已知随机变量X服从二项分布,且E(X)=2.4,D(X)=1.44,则二项分布的参数n,p的值为( )。
·n=4 p=0.6
·n=6 p=0.4
·n=8 p=0.1
·n=24 p=0.1
设两个相互独立的随机变量
与
分别服从正态分布
和
,则( )
·
·
·
·
设随机变量X的分布律为
,常数a=( )
·1
·2
·0.5
·3
对正态总体的数学期望
进行假设检验,如果在显著水平
下接受
,那么在显著水平0.01下,下列结论中正确的是( )
·必须接受
·可能接受,也可能拒绝
·必拒绝
·不接受,也不拒绝
以下参数中,建筑物垂直运输超高增加费计算所依据的参数是()
·结构类型
·用途
·檐高(或数)
·起重机械类型
某独立柱,断面为400×600(mm),高12米,其脚手架工程量为()㎡.
·28.8
·24
·67.2
·72.6
计算钢筋工程量时,设计未规定搭接长度的,其搭接钢筋用量()
·按实调增
·按图示工程量乘以相应系数
·与甲方协商解决
·已综合在钢筋的定额用量中,不再另行计算
材料的预算价格是指材料从来源地到达工地仓库后的()
·进场价格
·出库价格
·市场价格
·预算价格
·商流
·物流
·信息流
·资金流
设事件
与
互不相容,且
,
,则下面结论正确的是( )·
与
互不相容·

·

·
.设两个相互独立的随机变量X与Y的方差分别是4和2,则随机变量3X-2Y的方差是( )
·8
·16
·28
·44
在一个确定的假设检验中,与判断结果相关的因素有( )
·A样本值与样本容量
·C同时成立
·检验统计量
·A,B,C同时成立
在统计假设的显著性检验中,下列说法错误的是( )。
·拒绝域和接收域的确定于显著性水平
有关;·拒绝域和接收域的确定与所构造的随机变量的分布有关;
·拒绝域和接收域随样本观测的不同而改变;
·拒绝域和接收域是互不相交的。
一盒产品中有a 只正品,b 只次品,有放回地任取两次,第二次取到正品的概率为()
·

·

·

·

若a,b为常数,则D(aX+b)=aDX( )。 正确 错误
·正确
·错误
已知随机变量X服从二项分布,且E(X)=2.4,D(X)=1.44,则二项分布的参数n,p的值为( )。
·n=4 p=0.6
·n=6 p=0.4
·n=8 p=0.1
·n=24 p=0.1
设两个相互独立的随机变量
与
分别服从正态分布
和
,则( )·

·

·

·

设随机变量X的分布律为
,常数a=( )·1
·2
·0.5
·3
对正态总体的数学期望
进行假设检验,如果在显著水平
下接受
,那么在显著水平0.01下,下列结论中正确的是( )·必须接受

·可能接受,也可能拒绝

·必拒绝

·不接受,也不拒绝

以下参数中,建筑物垂直运输超高增加费计算所依据的参数是()
·结构类型
·用途
·檐高(或数)
·起重机械类型
某独立柱,断面为400×600(mm),高12米,其脚手架工程量为()㎡.
·28.8
·24
·67.2
·72.6
计算钢筋工程量时,设计未规定搭接长度的,其搭接钢筋用量()
·按实调增
·按图示工程量乘以相应系数
·与甲方协商解决
·已综合在钢筋的定额用量中,不再另行计算
材料的预算价格是指材料从来源地到达工地仓库后的()
·进场价格
·出库价格
·市场价格
·预算价格