注意:此页面搜索的是所有试题
西南石油大学土木工程施工与组织(专升本)

( )。·

·

·

·

()。·

·

·

·

( ) 。·

·

·

·

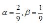
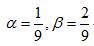
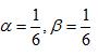
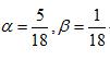
常数a=()。·1
·2
·0.5
·3
某公司电话号码有五位,若第一位数字必须是8,其余各位可以是0到9中的任意一个,则由完全不同的数字组成的电话号码的个数是 ( )。
·126
·1260
·3024
·5040
考题为选择类试题,每题有四个选择,已知考生知道正确答案的概率为0.8,不知道正确答案的概率为0.2;不知道正确答案时而猜对的概率为1/4,则在他答对时,他确实知道正确答案的概率为 ( )。
·6/5
·16/17
·15/18
·0.8
() 。·0.6
·0.7
·0.8
·0.5
在书架上任意放置10本不同的书,其中指定的四本书放在一起的概率为( )。
·1/30
·3/15
·4/5
·3/5
() 。·0.6
·0.5
·0.7
·0.4
()。·0.4
·0.6
·0.8
·0.7
五人以摸彩方式决定谁得一张电影票,今设“A i”表“第i人摸到”(i=1,2,3,4,5),则下列结果有一个不正确,它是( )。
·

·

·

·

甲、乙两人独立地对同一目标各射击一次,其命中率分别为0.6和0.5,现已知目标被命中,则它是甲射中的概率是( )。
·0.6
·5/11
·0.75
·6/11
加涅将学习分为智慧技能等五种类型的依据是( )。
·不同的学习结果
·学习层次的高低
·学习情境的简繁
·学习水平的优劣
提出最近发展区理论的心理学家是( )。
·维果斯基
·布鲁纳
·加涅
·桑代克
学生学习体操动作,这种学习属于( )。
·信号学习
·连锁学习
·辨别学习
·语言联结学习