注意:此页面搜索的是所有试题
西南石油大学土木工程施工与组织(专升本)

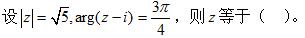
·等于0
·等于1
·等于i
·不存在

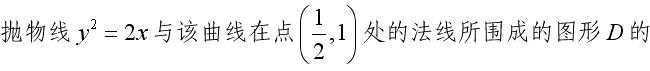
·有界区域
·无界区域
·有界闭区域
·无界闭区域

·

·

·

·


·

·

·

·


·等于0
·等于1
·等于2
·不能确定

·

·

·

·


·

·

·

·

面积为()

·

·

·

·


·

·

·

·

().

·

·

·

·

已知F(c,0)是椭圆
(a>b>0)的一个焦点,F与椭圆上点的距离的最大值为m,最 小值为n,则椭圆上与点F的距离为
的点是( )·

·

·(0,±b)
·不存在
已知双曲线
(a>0,b>0)的两条渐近线均和圆C:
相切,且双 曲线的右焦点为圆C的圆心,则该双曲线的方程为( )·

·

·

·

A(x1,y1),B
,C(x2,y2)为椭圆
上三点,若F(0,4)与三点A、B、C的距离为等差数列,则y1+y2的值为( )·

·

·

·

设双曲线的一个焦点为F,虚轴的一个端点为B,如果直线FB与该双曲线的一条渐近线垂直,那么此双曲线的离心率为( ).
·

·

·

·

已知点P是抛物线
上的一个动点,则点P到点(0,2)的距离与点P到该抛物线准线的距离之和的最小值为( )·

·3
·

·
