注意:此页面搜索的是所有试题
佳木斯大学语言治疗学
具有特解
的三阶常系数齐次线性微分方程是( )
·
·
·
·
已知三点M(1,1,1)、A(2,2,1)、B(2,1,2),则
等于( )
·
·
·
·
设函数
在点(0,0)的某邻域内有定义,且
,
,则有( )
·
·曲面
·曲面
的一个切向量为(1,0,3)
·曲面
的一个切向量为(3,0,1)
下列结论中,错误的是( )
·
表示椭圆抛物面
·
表示双叶双曲线
·
表示圆锥面
·
表示抛物柱面
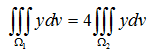
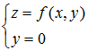
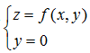
设有空间闭区域
,
则有( )
·
·
·
·
已知
,
,则
( )
·0
·
·
·

空间直角坐标系中
表示( )
·圆
·圆面
·圆柱面
·球面
二元函数
在(0,0)点处的极限是( )
·1
·0
·
·不存在
交换积分次序后
=( )
·
·
·
·
二重积分的积分区域D是
,则
( )
·2
·1
·0
·4
n阶行列式中所有元素都是1,其值为( )
·0
·1
·n
·n!
若有矩阵
,
,
,下列可运算的式子是( )
·
·
·
·
n元线性方程组,当
时有无穷多组解,则( )
·r=n
·r<n
·r>n
·无法确定
在一秩为r的矩阵中,任r阶子式( )
·必等于零
·必不等于零
·可以等于零,也可以不等于零
·不会都不等于零
正项级数
和
满足关系式
,则( )
·若
·若
·若
·若<img src="https://s3.cn-north-1.amazonaws.com.cn/qingshuxuetang/examination/imgUplod/1655090761135_e3d7259fdb9e42fc872fffb10c093dff.png" 收敛,则<img src="https://s3.cn-north-1.amazonaws.com.cn/qingshuxuetang/examination/imgUplod/1655090811961_75f784f394b045949d1f5303c2e8fe51.png" 发散
的三阶常系数齐次线性微分方程是( )·

·

·

·

已知三点M(1,1,1)、A(2,2,1)、B(2,1,2),则
等于( )·

·

·

·

设函数
在点(0,0)的某邻域内有定义,且
,
,则有( )·

·曲面
·曲面
的一个切向量为(1,0,3)·曲面
的一个切向量为(3,0,1)下列结论中,错误的是( )
·
表示椭圆抛物面·
表示双叶双曲线·
表示圆锥面·
表示抛物柱面设有空间闭区域
,
则有( )·

·

·

·

已知
,
,则
( )·0
·

·

·

空间直角坐标系中
表示( )·圆
·圆面
·圆柱面
·球面
二元函数
在(0,0)点处的极限是( )·1
·0
·

·不存在
交换积分次序后
=( )·

·

·

·

二重积分的积分区域D是
,则
( )·2
·1
·0
·4
n阶行列式中所有元素都是1,其值为( )
·0
·1
·n
·n!
若有矩阵
,
,
,下列可运算的式子是( )·

·

·

·

n元线性方程组,当
时有无穷多组解,则( )·r=n
·r<n
·r>n
·无法确定
在一秩为r的矩阵中,任r阶子式( )
·必等于零
·必不等于零
·可以等于零,也可以不等于零
·不会都不等于零
正项级数
和
满足关系式
,则( )·若
·若
·若
·若<img src="https://s3.cn-north-1.amazonaws.com.cn/qingshuxuetang/examination/imgUplod/1655090761135_e3d7259fdb9e42fc872fffb10c093dff.png" 收敛,则<img src="https://s3.cn-north-1.amazonaws.com.cn/qingshuxuetang/examination/imgUplod/1655090811961_75f784f394b045949d1f5303c2e8fe51.png" 发散