注意:此页面搜索的是所有试题
佳木斯大学语言治疗学
(单选题)求
=( )
·0
·1
·
·
(单选题)已知
=( )
·1
·2
·3
·4
(单选题)设

处可导,则必有( )
·
·
·
·
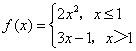
(单选题)设函数

处( )
·不连续
·连续但左、右导数不存在
·连续但不可导
·可导
(单选题)若函数
区间上连续,则在区间上函数一定存在最大值和最小值的是( )
·
·
·
·
(单选题)函数
的定义域为( )
·
·
·[1,3]
·
(单选题)函数
的间断点是( )
·
·
·
·
(单选题)求
=( )
·1
·2
·3
·4
(单选题)求
=( )
·
·1
·0
·
(单选题)求
=( )
·1
·
·
·
(单选题)求
的定义域( )
·[-1,1]
·(-1,1)
·[-3,3]
·(-3,3)
(单选题)函数
( )
·充分条件
·充分必要条件
·必要条件
·既非充分也非必要条件
下列有关文学常识的说法不正确的一项是 ( )。
· 《钴鉧潭西小丘记》作者柳宗元,是唐宋八大家之一,宋代文学家、哲学家、散文家和思想家。
·苏洵、苏轼、苏辙被人称为三苏,唐宋八大家。苏轼字子由,号东坡居士。他是北宋文坛领袖
· 《史记》是西汉时期历史学家司马迁编写的中国第一部纪传体通史。全书包括十二本纪、三十世家、七十列传、十表、八书,共一百三十篇。鲁迅赞其为“史家之绝唱,无韵之离骚”。
·马致远的戏曲代表作为“临川四梦”,包括《牡丹亭》、《紫钗记》、《邯郸记》、《南柯记》。
汤显祖的“临川四梦”不包括( )
·《南柯记》
·《紫钗记》
·《宝剑记》
·《牡丹亭》
一般对于 N 跨连续梁,有( )种最不利荷载组合。
· N-1
· N
· N+1
· N+2
=( )·0
·1
·

·

(单选题)已知

=( )·1
·2
·3
·4
(单选题)设


处可导,则必有( )·

·

·

·

(单选题)设函数


处( )·不连续
·连续但左、右导数不存在
·连续但不可导
·可导
(单选题)若函数
区间上连续,则在区间上函数一定存在最大值和最小值的是( )·

·

·

·

(单选题)函数

的定义域为( )·

·

·[1,3]
·

(单选题)函数
的间断点是( )·

·

·

·

(单选题)求
=( )·1
·2
·3
·4
(单选题)求
=( )·

·1
·0
·

(单选题)求
=( )·1
·

·

·

(单选题)求
的定义域( )·[-1,1]
·(-1,1)
·[-3,3]
·(-3,3)
(单选题)函数
( )·充分条件
·充分必要条件
·必要条件
·既非充分也非必要条件
下列有关文学常识的说法不正确的一项是 ( )。
· 《钴鉧潭西小丘记》作者柳宗元,是唐宋八大家之一,宋代文学家、哲学家、散文家和思想家。
·苏洵、苏轼、苏辙被人称为三苏,唐宋八大家。苏轼字子由,号东坡居士。他是北宋文坛领袖
· 《史记》是西汉时期历史学家司马迁编写的中国第一部纪传体通史。全书包括十二本纪、三十世家、七十列传、十表、八书,共一百三十篇。鲁迅赞其为“史家之绝唱,无韵之离骚”。
·马致远的戏曲代表作为“临川四梦”,包括《牡丹亭》、《紫钗记》、《邯郸记》、《南柯记》。
汤显祖的“临川四梦”不包括( )
·《南柯记》
·《紫钗记》
·《宝剑记》
·《牡丹亭》
一般对于 N 跨连续梁,有( )种最不利荷载组合。
· N-1
· N
· N+1
· N+2