注意:此页面搜索的是所有试题
佳木斯大学语言治疗学
新军事革命的基础是( )的信息化。
·军事理论
·武器装备
·指挥控制
·后勤保障
江泽民国防和军队建设思想的理论体系不包括( )。
·解决好打得赢、不变质两个历史性课题
·坚持依法治军、从严治军
·按照“五句话”总要求全面加强军队建设
·把科学发展观确立为加强国防和军队建设的重要指导方针
国防的主体是( )
·公民
·政府
·国家
·军队
胡锦涛国防和军队建设思想的主要内容不包括( )。
·按照“五句话”总要求全面加强军队建设
·积极推进国防和军队建设各领域改革
·把以人为本作为重要的建军治军原则
·走中国特色军民融合式发展的路
( )在国防法规体系中占有统帅地位并起着核心作用,是其他军事理发的基本法律依据。
·《兵役法》
·《反分裂国家法》
·《国防教育法》
·《国防法》
坚持总体国家安全观,必须坚持( )。
·以人民安全为宗旨
·以政治安全为根本
·以促进国际安全为基础
·以军事、文化、社会安全为保障
毛泽东军事思想的科学含义是( )。
·是马列主义的基本原理与中国革命战争具体实践相结合的产物
·是中国人民革命战争和国防建设实践经验的总结
·是中国共产党集体智慧的结晶
·是毛泽东思想的重要组成部分
毛泽东认为“政治是不流血的战争,战争是流血的政治”。( )
·正确
·错误
缩限是指:
· 可塑状态转到流动状态的界限含水量
· 半固态转到可塑状态的界限含水量
· 固态转到半固态的界限含水量
· 土体呈收缩状态的界限含水量
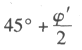
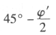
土体的总应力抗剪强度指标为c、φ,有效应力抗剪强度指标为c.、φ.则其剪切破坏时实际破裂面与大主应力作用面的夹角为 ( )
·
·
·
·
判别粘性土软硬状态的指标是 ( )
·塑性指数
·液性指数
·压缩系数
·压缩指数
无粘性土坡在稳定状态下(不含临界稳定)坡角β与土的内摩擦角φ之间的关系是( )
·β<φ
·β=φ
·β>φ
·β≤φ
对于轴心受压或荷载偏心距e较小的基础,可以根据土的抗剪强度指标标准值φk、Ck按公式
确定地基承载力的特征值。偏心距的大小规定为(注:Z为偏心方向的基础边长) ( )
·e≤ι/30
·e≤ι/10
·e≤b/4
·e≤b/2
工程地质勘察报告书所附的图表一般包括( )。
·勘探点平面布置图
·工程地质剖面图
·土工试验成果表
·1:100000比例尺的地形图
太沙基的地基极限承载力理论假设基础底面是 ( )
·粗糙的条形面积
·光滑的条形面积
·粗糙的矩形面积
·光滑的矩形面积
·军事理论
·武器装备
·指挥控制
·后勤保障
江泽民国防和军队建设思想的理论体系不包括( )。
·解决好打得赢、不变质两个历史性课题
·坚持依法治军、从严治军
·按照“五句话”总要求全面加强军队建设
·把科学发展观确立为加强国防和军队建设的重要指导方针
国防的主体是( )
·公民
·政府
·国家
·军队
胡锦涛国防和军队建设思想的主要内容不包括( )。
·按照“五句话”总要求全面加强军队建设
·积极推进国防和军队建设各领域改革
·把以人为本作为重要的建军治军原则
·走中国特色军民融合式发展的路
( )在国防法规体系中占有统帅地位并起着核心作用,是其他军事理发的基本法律依据。
·《兵役法》
·《反分裂国家法》
·《国防教育法》
·《国防法》
坚持总体国家安全观,必须坚持( )。
·以人民安全为宗旨
·以政治安全为根本
·以促进国际安全为基础
·以军事、文化、社会安全为保障
毛泽东军事思想的科学含义是( )。
·是马列主义的基本原理与中国革命战争具体实践相结合的产物
·是中国人民革命战争和国防建设实践经验的总结
·是中国共产党集体智慧的结晶
·是毛泽东思想的重要组成部分
毛泽东认为“政治是不流血的战争,战争是流血的政治”。( )
·正确
·错误
缩限是指:
· 可塑状态转到流动状态的界限含水量
· 半固态转到可塑状态的界限含水量
· 固态转到半固态的界限含水量
· 土体呈收缩状态的界限含水量
土体的总应力抗剪强度指标为c、φ,有效应力抗剪强度指标为c.、φ.则其剪切破坏时实际破裂面与大主应力作用面的夹角为 ( )
·

·

·

·

判别粘性土软硬状态的指标是 ( )
·塑性指数
·液性指数
·压缩系数
·压缩指数
无粘性土坡在稳定状态下(不含临界稳定)坡角β与土的内摩擦角φ之间的关系是( )
·β<φ
·β=φ
·β>φ
·β≤φ
对于轴心受压或荷载偏心距e较小的基础,可以根据土的抗剪强度指标标准值φk、Ck按公式
确定地基承载力的特征值。偏心距的大小规定为(注:Z为偏心方向的基础边长) ( )·e≤ι/30
·e≤ι/10
·e≤b/4
·e≤b/2
工程地质勘察报告书所附的图表一般包括( )。
·勘探点平面布置图
·工程地质剖面图
·土工试验成果表
·1:100000比例尺的地形图
太沙基的地基极限承载力理论假设基础底面是 ( )
·粗糙的条形面积
·光滑的条形面积
·粗糙的矩形面积
·光滑的矩形面积