注意:此页面搜索的是所有试题
佳木斯大学语言治疗学
在关系中,关系键由()。
·多个任意属性组成
·至多由一个属性组成
·一个或多个其值能唯一标识该关系中任何元组的属性组成
·以上都不是
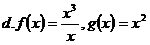
下列各组函数中是相同的函数有()。
·
·
·
·
n维向量组 { α 1 , α 2 , α 3 , α 4 } 线性相关,则 { α 2 , α 3 , α 4 } 线性无关。
·正确
·错误
下面叙述是否正确? 二次型与实对称矩阵之间是一一对应的关系。
·正确
·错误
若方程组 Ax=0 有非零解,则方程组 Ax=b 一定有无穷多解。
·正确
·错误
如果矩阵A与B等价,则A的行向量组与B的行向量组等价。
·正确
·错误
设 A是 n阶方阵( n≥2 ), λ∈R ,则 | λA |=λ| A | 。
·正确
·错误
设行列式
,则
()
·-6
·-3
·3
·6
已知随机变量X服从参数为2的指数分布,则随机变量X的期望为( )
·-
·0
·
·2
设向量(2,-3,5)与向量(-4,6,a)线性相关,则a=( ).
·-10
·10
·8
·9
已知集合A={1,2,3} ,则A的1元子集的个数为( )。
·1
·2
·3
·4
设矩阵A=
,已知α=
是它的一个特征向量,则α所对应的特征值为 ( ).
·1
·2
·3
·4
.设矩阵A的秩为r,则A中( )
·所有r-1阶子式都不为0
·所有r-1阶子式全为0
·至少有一个r阶子式不等于0
·所有r阶子式都不为0
设A是m×n矩阵,A的秩为r(<n),则齐次线性方程组Ax=0的一个基础解系中含有解的个数为( ).
·n-1
·n-3
·n-7
·n-2
设n阶方阵A不可逆,则必有( )
·秩(A)<n
·秩(A)=n-1
·A=0
·方程组Ax=0只有零解
·多个任意属性组成
·至多由一个属性组成
·一个或多个其值能唯一标识该关系中任何元组的属性组成
·以上都不是
下列各组函数中是相同的函数有()。
·

·

·

·

n维向量组 { α 1 , α 2 , α 3 , α 4 } 线性相关,则 { α 2 , α 3 , α 4 } 线性无关。
·正确
·错误
下面叙述是否正确? 二次型与实对称矩阵之间是一一对应的关系。
·正确
·错误
若方程组 Ax=0 有非零解,则方程组 Ax=b 一定有无穷多解。
·正确
·错误
如果矩阵A与B等价,则A的行向量组与B的行向量组等价。
·正确
·错误
设 A是 n阶方阵( n≥2 ), λ∈R ,则 | λA |=λ| A | 。
·正确
·错误
设行列式
,则
()·-6
·-3
·3
·6
已知随机变量X服从参数为2的指数分布,则随机变量X的期望为( )
·-

·0
·

·2
设向量(2,-3,5)与向量(-4,6,a)线性相关,则a=( ).
·-10
·10
·8
·9
已知集合A={1,2,3} ,则A的1元子集的个数为( )。
·1
·2
·3
·4
设矩阵A=
,已知α=
是它的一个特征向量,则α所对应的特征值为 ( ).·1
·2
·3
·4
.设矩阵A的秩为r,则A中( )
·所有r-1阶子式都不为0
·所有r-1阶子式全为0
·至少有一个r阶子式不等于0
·所有r阶子式都不为0
设A是m×n矩阵,A的秩为r(<n),则齐次线性方程组Ax=0的一个基础解系中含有解的个数为( ).
·n-1
·n-3
·n-7
·n-2
设n阶方阵A不可逆,则必有( )
·秩(A)<n
·秩(A)=n-1
·A=0
·方程组Ax=0只有零解