注意:此页面搜索的是所有试题
西南石油大学土木工程施工与组织(专升本)
设
为圆
及
围成的环形区域,则
。( )
·正确
·错误
设空间两直线
与
交于一点,则
。( )
·正确
·错误
级数
的和是
。( )
·正确
·错误
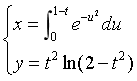
设
,则
。( )
·正确
·错误
二重积分
。( )
·正确
·错误
曲线
在点
处的切线方程为
。( )
·正确
·错误
函数
在区间
内的最大值是
,最小值是
。( )
·正确
·错误
函数 y = x+lnx 在其定义域
内为( )。
·单调增加
·单调减少
·图形上凹
·图形下凹
若
二次可导,是奇函数又是周期函数,则下述命题成立的是_(1)_
·
是奇函数又是周期函数 ;
·
是奇函数但不是周期函数;
·
是偶函数且是周期函数 ;
·
是偶函数但不是周期函数.
在民事诉讼中,下列法院的哪些活动属于民事诉讼活动( )
·调查取证
·审判委员会讨论案件
·开庭审理
·合议庭向审判委员会汇报案情
下列属于我国民事诉讼法的根本任务的是:( )
·保护当事人行使诉讼权利
·保证人民法院正确、及时审理民事案件
·确认民事权利义务关系,制裁民事违法行为,保护当事人的合法权益
·教育公民自觉遵守法律
下列诉讼中不属于给付之诉的有:( )
·请求解除共有关系之诉
·请求给付扶养费之诉
·请求确认婚姻关系有效之诉
·请求赔偿损失之诉
甲乙双方签订一份水泥购销合同。乙没付货款,甲起诉要乙支付货款和违约金。乙应诉后提出,甲方供应的水泥不符合质量,要求甲赔偿损失,本案起诉的种类有( )
·确认之诉
·给付之诉
·变更之诉
·反诉
A公司起诉B公司合同违约,一审法院经审理判决A公司胜诉,被告B公司不服提起上诉。二审法院受理后,依法组成合议庭进行审理,此时原审被告B公司提出反诉,二审法院就反诉进行调解未果,便对该案作出判决。请问,该二审法院的做法违反了我国民事诉讼法的哪一项基本制度( )
·合议制度
·公开审判制度
·回避制度
·两审终审制度
《民事证据规定》第4条规定的下列情形中,不属于举证责任倒置的是:()
·高度危险作业致人损害的侵权诉讼,由加害人就受害人故意造成损害的事实承担举证责任
·因环境污染引起的损害赔偿诉讼,由加害人就其行为与损害结果之间不存在因果关系承担举证责任
·因缺陷产品致人损害的侵权诉讼,由产品的生产者就法律规定的免责事由承担举证责任
·饲养动物致人损害的侵权诉讼,由动物饲养人或者管理人就受害人有过错或者第三人有过错承担举证责任
为圆
及
围成的环形区域,则
。( )·正确
·错误
设空间两直线
与
交于一点,则
。( )·正确
·错误
级数
的和是
。( )·正确
·错误
设
,则
。( )·正确
·错误
二重积分
。( )·正确
·错误
曲线
在点
处的切线方程为
。( )·正确
·错误
函数
在区间
内的最大值是
,最小值是
。( )·正确
·错误
函数 y = x+lnx 在其定义域
内为( )。·单调增加
·单调减少
·图形上凹
·图形下凹
若
二次可导,是奇函数又是周期函数,则下述命题成立的是_(1)_·
是奇函数又是周期函数 ;·
是奇函数但不是周期函数;·
是偶函数且是周期函数 ;·
是偶函数但不是周期函数.在民事诉讼中,下列法院的哪些活动属于民事诉讼活动( )
·调查取证
·审判委员会讨论案件
·开庭审理
·合议庭向审判委员会汇报案情
下列属于我国民事诉讼法的根本任务的是:( )
·保护当事人行使诉讼权利
·保证人民法院正确、及时审理民事案件
·确认民事权利义务关系,制裁民事违法行为,保护当事人的合法权益
·教育公民自觉遵守法律
下列诉讼中不属于给付之诉的有:( )
·请求解除共有关系之诉
·请求给付扶养费之诉
·请求确认婚姻关系有效之诉
·请求赔偿损失之诉
甲乙双方签订一份水泥购销合同。乙没付货款,甲起诉要乙支付货款和违约金。乙应诉后提出,甲方供应的水泥不符合质量,要求甲赔偿损失,本案起诉的种类有( )
·确认之诉
·给付之诉
·变更之诉
·反诉
A公司起诉B公司合同违约,一审法院经审理判决A公司胜诉,被告B公司不服提起上诉。二审法院受理后,依法组成合议庭进行审理,此时原审被告B公司提出反诉,二审法院就反诉进行调解未果,便对该案作出判决。请问,该二审法院的做法违反了我国民事诉讼法的哪一项基本制度( )
·合议制度
·公开审判制度
·回避制度
·两审终审制度
《民事证据规定》第4条规定的下列情形中,不属于举证责任倒置的是:()
·高度危险作业致人损害的侵权诉讼,由加害人就受害人故意造成损害的事实承担举证责任
·因环境污染引起的损害赔偿诉讼,由加害人就其行为与损害结果之间不存在因果关系承担举证责任
·因缺陷产品致人损害的侵权诉讼,由产品的生产者就法律规定的免责事由承担举证责任
·饲养动物致人损害的侵权诉讼,由动物饲养人或者管理人就受害人有过错或者第三人有过错承担举证责任