注意:此页面搜索的是所有试题
西南石油大学土木工程施工与组织(专升本)
在空间直角坐标系中,下列说法正确的是( )
·点
·方程<img src="https://s3.cn-north-1.amazonaws.com.cn/qingshuxuetang/examination/imgUplod/1652860521772d312f78a038a4c108cb1a7abee293fbcimage35.png"平行
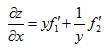
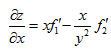
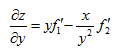
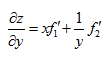
设
,其中
具有一阶连续偏导数,则( )
·
·
·
·
一元函数微分学的三个中值定理的结论都有一个共同点,即_(1)_
·它们都给出了ξ点的求法;
·它们都肯定了ξ点一定存在,且给出了求ξ的方法;
·它们都先肯定了ξ点一定存在,而且如果满足定理条件,就都可以用定理给出的公式计算ξ的值 ;
·它们只肯定了ξ的存在,却没有说出ξ的值是什么,也没有给出求ξ的方法 .
下列等式中 () 是错误的
·
·
·
·
.
_(1)_.
·0;
·
;
·1;
·
.
。( )
·正确
·错误
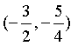
设
,则
,极值点坐标为
。( )
·正确
·错误
函数
在
处的切线斜率为3,法线斜率为
。( )
·正确
·错误
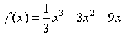
函数
在区间
上的最大值点为
。( )
·正确
·错误
空间直角坐标系分为八个卦限,空间点
在第四卦限。( )
·正确
·错误
设函数
在
处连续,则常数
。( )
·正确
·错误
方程
表示的曲面是
,其中心坐标是(1,-2,-1)。( )
·正确
·错误
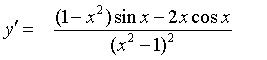
设
,则
。( )
·正确
·错误
的通解是
。若
,
,则特解是
。( )
·正确
·错误
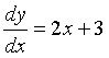
设
,则
。( )
·正确
·错误
·点
·方程<img src="https://s3.cn-north-1.amazonaws.com.cn/qingshuxuetang/examination/imgUplod/1652860521772d312f78a038a4c108cb1a7abee293fbcimage35.png"平行设
,其中
具有一阶连续偏导数,则( )·

·

·

·

一元函数微分学的三个中值定理的结论都有一个共同点,即_(1)_
·它们都给出了ξ点的求法;
·它们都肯定了ξ点一定存在,且给出了求ξ的方法;
·它们都先肯定了ξ点一定存在,而且如果满足定理条件,就都可以用定理给出的公式计算ξ的值 ;
·它们只肯定了ξ的存在,却没有说出ξ的值是什么,也没有给出求ξ的方法 .
下列等式中 () 是错误的
·

·

·

·
.
_(1)_.·0;
·
;·1;
·
.
。( )·正确
·错误
设
,则
,极值点坐标为
。( )·正确
·错误
函数
在
处的切线斜率为3,法线斜率为
。( )·正确
·错误
函数
在区间
上的最大值点为
。( )·正确
·错误
空间直角坐标系分为八个卦限,空间点
在第四卦限。( )·正确
·错误
设函数
在
处连续,则常数
。( )·正确
·错误
方程
表示的曲面是
,其中心坐标是(1,-2,-1)。( )·正确
·错误
设
,则
。( )·正确
·错误
的通解是
。若
,
,则特解是
。( )·正确
·错误
设
,则
。( )·正确
·错误