注意:此页面搜索的是所有试题
佳木斯大学语言治疗学
( )是在理论上没有舍入误差的前提下经过有限步运算即可得到方程组的精确解。
·直接法
·迭代法
·差分法
·高斯消去法
线性方程组的数值解法有( )。
·直接法和迭代法
·直接法和二分法
·反幂法和乘幂法
·差分法迭代法
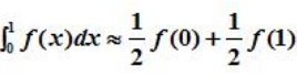
积公式
的代数精度为( )。
·1
·2
·3
·5
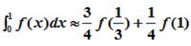
积公式
的代数精度为( )。
·1
·2
·3
·5
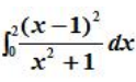
一节点的Gauss-Legendre求积公式计算积分
的近似值为( )。
·0
·1
·2
·3
三级耐火等级的四层教学楼位于尽端的房间的门到楼梯间的距离不得小于20米。.................... ( )
·正确
·错误
灰板条抹灰隔墙的木骨架由上槛、下槛、墙筋和斜撑等组成。................................................ ( )
·正确
·错误
当地下室的地面高于设计最高地下水位,而无滞水可能时,一般只作防潮处理。................. ( )
·正确
·错误
对电影院观众厅进行视线设计,设计视点要选择观看对象最不利的部分。............................. ( )
·正确
·错误
垂直遮阳板适用于偏东偏西的南向或北向窗口。..................................................................... ( )
·正确
·错误
托幼建筑的儿童用门可以选用弹簧门。( )
·正确
·错误
钢筋混凝土基础是刚性基础。 ( )
·正确
·错误
墙面装修仅仅就是为了提高建筑物的艺术效果和美化环境。( )
·正确
·错误
公共建筑的安全出入口的数目应不少于两个。 ( )
·正确
·错误
对防火要求较高的建筑应设封闭式楼梯,供疏散用的楼梯门应开向疏散方向。( )
·正确
·错误
·直接法
·迭代法
·差分法
·高斯消去法
线性方程组的数值解法有( )。
·直接法和迭代法
·直接法和二分法
·反幂法和乘幂法
·差分法迭代法
积公式
的代数精度为( )。·1
·2
·3
·5
积公式
的代数精度为( )。·1
·2
·3
·5
一节点的Gauss-Legendre求积公式计算积分
的近似值为( )。·0
·1
·2
·3
三级耐火等级的四层教学楼位于尽端的房间的门到楼梯间的距离不得小于20米。.................... ( )
·正确
·错误
灰板条抹灰隔墙的木骨架由上槛、下槛、墙筋和斜撑等组成。................................................ ( )
·正确
·错误
当地下室的地面高于设计最高地下水位,而无滞水可能时,一般只作防潮处理。................. ( )
·正确
·错误
对电影院观众厅进行视线设计,设计视点要选择观看对象最不利的部分。............................. ( )
·正确
·错误
垂直遮阳板适用于偏东偏西的南向或北向窗口。..................................................................... ( )
·正确
·错误
托幼建筑的儿童用门可以选用弹簧门。( )
·正确
·错误
钢筋混凝土基础是刚性基础。 ( )
·正确
·错误
墙面装修仅仅就是为了提高建筑物的艺术效果和美化环境。( )
·正确
·错误
公共建筑的安全出入口的数目应不少于两个。 ( )
·正确
·错误
对防火要求较高的建筑应设封闭式楼梯,供疏散用的楼梯门应开向疏散方向。( )
·正确
·错误