注意:此页面搜索的是所有试题
华北水利水电大学英语
The doctor asked what ____ do for us.( )
·he could
·could he
·he can
·cahe
The news came to my ears quite ____ chance.( )
·by
·at
·in
·on
Sometimes they spoke lovingly of the country ____ the Flowery Land.( )
·as
·like
·for
·of
Let’s stop ____ and hand ithe paper.( )
·writing
·to write
·write
·written
________ he is, he seldom shares his precious coins with others, evehis friends. ( )
·coin-collector as
·As a coin-collector
·A coin-collector as
·Coin-collector that
________ you are familiar with the author.s ideas, try reading all the sections as quickly as possible.( )
·Now that
·Ever since
·So that
·As long as
We have beetold that ino case _____ the telephone ithe office for personal affairs. ( )
·may we use
·we may use
·we use
·do we use
I was worried about my parents all the time, but at last I got the letter I ________ . ( )
·had long beeexpecting
·were long expecting
·had long beeexpected
·have long beeexpecting
It.s important for us to select the best word or phrase according to the ________ ilanguage studies. ( )
·situation
·expression
·condition
·translation
极限
·-1
·0
·1
·不存在
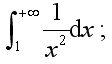
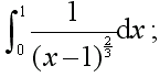
下面反常积分发散的是().
·
·
·
·
().
·
·
·
·
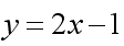
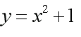
( ).
·高阶无穷小
·等价无穷小
·低阶无穷小
·同阶但非等价无穷小
函数
是( )
·有界函数
·单增函数
·奇函数
·偶函数
mazonaws.com.cn/qingshuxuetang/staticQuestionImg/4cbd39df-91fc-48b0-a59b-9e3bdc1b5b8d.jpg" >处( )
·有定义
·极限存在
·连续
·间断
·he could
·could he
·he can
·cahe
The news came to my ears quite ____ chance.( )
·by
·at
·in
·on
Sometimes they spoke lovingly of the country ____ the Flowery Land.( )
·as
·like
·for
·of
Let’s stop ____ and hand ithe paper.( )
·writing
·to write
·write
·written
________ he is, he seldom shares his precious coins with others, evehis friends. ( )
·coin-collector as
·As a coin-collector
·A coin-collector as
·Coin-collector that
________ you are familiar with the author.s ideas, try reading all the sections as quickly as possible.( )
·Now that
·Ever since
·So that
·As long as
We have beetold that ino case _____ the telephone ithe office for personal affairs. ( )
·may we use
·we may use
·we use
·do we use
I was worried about my parents all the time, but at last I got the letter I ________ . ( )
·had long beeexpecting
·were long expecting
·had long beeexpected
·have long beeexpecting
It.s important for us to select the best word or phrase according to the ________ ilanguage studies. ( )
·situation
·expression
·condition
·translation
极限

·-1
·0
·1
·不存在
下面反常积分发散的是().
·

·

·

·

().

·

·

·

·

( ).

·高阶无穷小
·等价无穷小
·低阶无穷小
·同阶但非等价无穷小
函数
是( )·有界函数
·单增函数
·奇函数
·偶函数
mazonaws.com.cn/qingshuxuetang/staticQuestionImg/4cbd39df-91fc-48b0-a59b-9e3bdc1b5b8d.jpg" >处( )
·有定义
·极限存在
·连续
·间断