注意:此页面搜索的是所有试题
佳木斯大学语言治疗学
患者,男性,55岁,诊断为2型糖尿病5年,今晨未吃早餐。在公园慢跑过程中突然出现心慌,出汗,随后昏迷,被路人送至当地社区医院急诊就诊。接诊护士应立即采取的措施是( )
·立即静脉滴注生理盐水扩充血容量
·立即测血糖判断是否为低血糖
·立即行头颅CT检查
·立即静脉滴注碳酸氢钠溶液
·立即给予高糖食物或饮料
X为连续型随机变量,f(x)为其概率密度,则()
·f(x)=F(x)
·
·P(X=x)=f(x)
·
*事件A-B又可表示为()
·
·
·AB
·
*离散型随机变量的数学期望与方差相等,则它服从()
·0—1分布
·二项分布
·泊松分布
·均匀分布
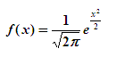
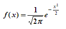
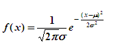
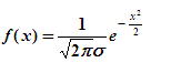
标准正态分布的概率密度函数为()
·
·
·
·
两个随机变量相互独立,则他们的线性相关系数等于()
·0
·1
·-1
·0.5
*A,B的概率均大于零,且A,B对立,则下列不成立的为()
·A,B互不相容
·A,B独立
·A,B不独立
·
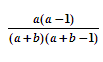
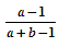
一盒产品中有a只正品,b只次品,无放回地任取两次,第二次取到正品的概率为()
·
·
·
·
随机变量X的所有可能取值为0和x,且P{X=0}=0.3,E(X)=1,则x=( )
·0.7
·0.3
·10/7
·1/2
中国传统文化中的“五福”(长寿、富贵、康宁、好德、善终),用生活质量标准衡量生命的意义,实际上属于( )。
·社会取向生命观
·个人取向生命观
·积极取向生命观
·消极取向生命观
罗克奇(Rokeach)提出了人类社会的两类价值系统,一是( ),另一种是工具性价值观。
·具体性价值观
·终极性价值观
·抽象性价值观
·持久性价值观
系列位置效应告诉我们,对一个记忆系列进行回忆时,对( )内容回忆效果最差。
·前段
·中间段
·后段
·以上均不正确
感觉精力枯竭是哪种压力信号()
·生理信号
·情绪信号
·思想信号
·行为信号
鲁迅说:不读( ),不知中国文化,不知人生真谛,可见其在中国文化中的重要性。
·《大学》
·《中庸》
·《论语》
·《道德经》
人格四个特性中,最能反映人格是否健康的特征是()。
·独特性
·稳定性
·统整性
·功能性
·立即静脉滴注生理盐水扩充血容量
·立即测血糖判断是否为低血糖
·立即行头颅CT检查
·立即静脉滴注碳酸氢钠溶液
·立即给予高糖食物或饮料
X为连续型随机变量,f(x)为其概率密度,则()
·f(x)=F(x)
·

·P(X=x)=f(x)
·

*事件A-B又可表示为()
·

·

·AB
·

*离散型随机变量的数学期望与方差相等,则它服从()
·0—1分布
·二项分布
·泊松分布
·均匀分布
标准正态分布的概率密度函数为()
·

·

·

·

两个随机变量相互独立,则他们的线性相关系数等于()
·0
·1
·-1
·0.5
*A,B的概率均大于零,且A,B对立,则下列不成立的为()
·A,B互不相容
·A,B独立
·A,B不独立
·

一盒产品中有a只正品,b只次品,无放回地任取两次,第二次取到正品的概率为()
·

·

·

·

随机变量X的所有可能取值为0和x,且P{X=0}=0.3,E(X)=1,则x=( )
·0.7
·0.3
·10/7
·1/2
中国传统文化中的“五福”(长寿、富贵、康宁、好德、善终),用生活质量标准衡量生命的意义,实际上属于( )。
·社会取向生命观
·个人取向生命观
·积极取向生命观
·消极取向生命观
罗克奇(Rokeach)提出了人类社会的两类价值系统,一是( ),另一种是工具性价值观。
·具体性价值观
·终极性价值观
·抽象性价值观
·持久性价值观
系列位置效应告诉我们,对一个记忆系列进行回忆时,对( )内容回忆效果最差。
·前段
·中间段
·后段
·以上均不正确
感觉精力枯竭是哪种压力信号()
·生理信号
·情绪信号
·思想信号
·行为信号
鲁迅说:不读( ),不知中国文化,不知人生真谛,可见其在中国文化中的重要性。
·《大学》
·《中庸》
·《论语》
·《道德经》
人格四个特性中,最能反映人格是否健康的特征是()。
·独特性
·稳定性
·统整性
·功能性