注意:此页面搜索的是所有试题
华北水利水电大学英语
解决问题时,一步一步地分析,每一步只考虑一种假设或一种属性。这称为( )认知风格。
·沉思型
·继时型
·稳重型
·冲动型
判断:由于小学生的学习动机以外部动机为主,因此在教育过程中应大量采用合理奖赏、及时反馈、定期考察、适度竞争等教育方式,激发其学习动机。( )
·对
·错
小学数学的学习有“知识的学习”、“技能的掌握”、“情感态度价值观的建立”三个方面。( )
·正确
·错误
数学评价应以课程目标和内容标准为依据,体现数学课程的基本理念,全面评价学生在知识技能、数学思考、问题解决和情感态度等方面的表现。 ( )
·正确
·错误
参考答案要科学、准确、规范、简洁,与题意相符。 ( )
·正确
·错误
《课程标准》将教学目标分为总体目标和学段目标。( )
·正确
·错误
判断:小学生的心理素质、还没有培养出来,导致学习的主动性差,学习态度不积极,自控力不强。( )
·对
·错
判断:在概括能力发展上,小学儿童逐渐从对事物外部的感性特点的概括,越来越多地转为对本质属性的概括( )。
·对
·错
在教学分数的初步认识时,要充分利用实物、图形等教具和学具操作,突出“平均分”是分数的本质。( )
·正确
·错误

·1/2
·1/4
·1/3
·2/5
人心理活动对一定对象的指向和集中,称为( )
·注意
·想象
·关注
·指集
教学活动设计的反思通常不包括( )
·活动目标设计是否具有趣味性
·活动形式设计是否体验灵活多样
·如何在行为实践过程中进行调控,让每个学生都投入到活动中
·是否有评价标准
·第十六课 高年级学生学习兴趣的激发
() 。
·0.6
· 0.5
· 0.7
· 0.4

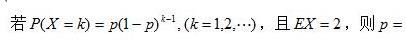
( )。
·
·
·
·
心理学家埃里克森认为,在童年期是孩童获得( )、克服自卑感的发展阶段。在该阶段,老师应该鼓励学生自主学习,尊重和关怀学生,注意观察和爱护后进生的自尊。
·勤奋感
·自信心
·自信感
·勤劳感
·沉思型
·继时型
·稳重型
·冲动型
判断:由于小学生的学习动机以外部动机为主,因此在教育过程中应大量采用合理奖赏、及时反馈、定期考察、适度竞争等教育方式,激发其学习动机。( )
·对
·错
小学数学的学习有“知识的学习”、“技能的掌握”、“情感态度价值观的建立”三个方面。( )
·正确
·错误
数学评价应以课程目标和内容标准为依据,体现数学课程的基本理念,全面评价学生在知识技能、数学思考、问题解决和情感态度等方面的表现。 ( )
·正确
·错误
参考答案要科学、准确、规范、简洁,与题意相符。 ( )
·正确
·错误
《课程标准》将教学目标分为总体目标和学段目标。( )
·正确
·错误
判断:小学生的心理素质、还没有培养出来,导致学习的主动性差,学习态度不积极,自控力不强。( )
·对
·错
判断:在概括能力发展上,小学儿童逐渐从对事物外部的感性特点的概括,越来越多地转为对本质属性的概括( )。
·对
·错
在教学分数的初步认识时,要充分利用实物、图形等教具和学具操作,突出“平均分”是分数的本质。( )
·正确
·错误

·1/2
·1/4
·1/3
·2/5
人心理活动对一定对象的指向和集中,称为( )
·注意
·想象
·关注
·指集
教学活动设计的反思通常不包括( )
·活动目标设计是否具有趣味性
·活动形式设计是否体验灵活多样
·如何在行为实践过程中进行调控,让每个学生都投入到活动中
·是否有评价标准
·第十六课 高年级学生学习兴趣的激发
() 。·0.6
· 0.5
· 0.7
· 0.4

( )。·

·

·

·

心理学家埃里克森认为,在童年期是孩童获得( )、克服自卑感的发展阶段。在该阶段,老师应该鼓励学生自主学习,尊重和关怀学生,注意观察和爱护后进生的自尊。
·勤奋感
·自信心
·自信感
·勤劳感