注意:此页面搜索的是所有试题
华北水利水电大学英语
“把线段的一端无限延长,就得到一条射线。”这种定义称为数学概念的
·属加种差式定义
·描述式定义
·约定式定义
·发生式定义
标志着中国古代数学体系形成的著作是( )
·《周髀算经》
·《孙子算经》
·《九章算术》
·《几何原本》
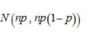
近似服从( )分布。
·
·
·
·
数学能力的三大基本能力不包括
·运算能力
·空间想象能力
·观察能力
·逻辑思维能力
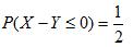
( )。
·正确
·错误
在0.3和0.4之间有无数个两位小数。( )
·正确
·错误
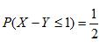
() 。
·
·
·
·
学生学习整数除法时,商是整数而余数为0,就叫除尽;继而学习小数除法, 商是有限小数,也叫除尽。这是认知结构的
·同化过程
·顺应过程
·强化过程
·迁移过程
按照学习迁移的性质,可将迁移分为( )。
·顺向迁移 逆向迁移
·正迁移 负迁移
·前迁移 后迁移
·水平迁移 垂直迁移
设( 4,6,4,3,5,4,5,8,4,7 )是来自总体 的一个样本值,样本方差
=()。
·0.2
·2.2
·1.2
·2
小学生对数学的钟情一般是从( )开始的。( )
·学习动机
·学习兴趣
·学习意志
·学习情感
( )的孩子观察较为被动,但是擅长冷静的思考,对数字较敏感。思维较缜密。情绪的外在反应不明显,比较擅长计算类的学科,理性思维能力比较突出。
·外向型
·内向型
·沉思型
·思考型
下列不属于选择小学数学课程内容的基本原则的是()。
·基础性原则
·学术性原则
·可接受性与发展性相结合原则
·统一性与灵活性相结合的原则
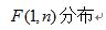
服从() 。
·
·
·
·
“发展空间观念与几何直觉”是属于小学数学课程目标中的哪个目标
·知识与技能
·数学思考
·解决问题
·情感与态度
·属加种差式定义
·描述式定义
·约定式定义
·发生式定义
标志着中国古代数学体系形成的著作是( )
·《周髀算经》
·《孙子算经》
·《九章算术》
·《几何原本》
近似服从( )分布。·

·

·

·

数学能力的三大基本能力不包括
·运算能力
·空间想象能力
·观察能力
·逻辑思维能力
( )。·正确
·错误
在0.3和0.4之间有无数个两位小数。( )
·正确
·错误
() 。·

·

·

·

学生学习整数除法时,商是整数而余数为0,就叫除尽;继而学习小数除法, 商是有限小数,也叫除尽。这是认知结构的
·同化过程
·顺应过程
·强化过程
·迁移过程
按照学习迁移的性质,可将迁移分为( )。
·顺向迁移 逆向迁移
·正迁移 负迁移
·前迁移 后迁移
·水平迁移 垂直迁移
设( 4,6,4,3,5,4,5,8,4,7 )是来自总体 的一个样本值,样本方差
=()。·0.2
·2.2
·1.2
·2
小学生对数学的钟情一般是从( )开始的。( )
·学习动机
·学习兴趣
·学习意志
·学习情感
( )的孩子观察较为被动,但是擅长冷静的思考,对数字较敏感。思维较缜密。情绪的外在反应不明显,比较擅长计算类的学科,理性思维能力比较突出。
·外向型
·内向型
·沉思型
·思考型
下列不属于选择小学数学课程内容的基本原则的是()。
·基础性原则
·学术性原则
·可接受性与发展性相结合原则
·统一性与灵活性相结合的原则
服从() 。·

·

·

·

“发展空间观念与几何直觉”是属于小学数学课程目标中的哪个目标
·知识与技能
·数学思考
·解决问题
·情感与态度