注意:此页面搜索的是所有试题
西南石油大学土木工程施工与组织(专升本)
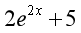
经过点
且切线斜率为
的曲线方程是( )。
·
;
·
;
·
;
·
。
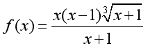
设
则
在( )
·
处都间断
·
处都连续
·
处间断,
处连续
·
处连续,
处间断
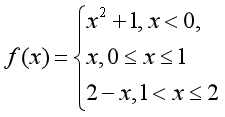
变量
在变化过程为( )时为无穷大量。
·
·
·
·
对于空间直线方程
,下列描述正确的是( )
·
都不能为零
·
不能全为零
· 空间点
在该直线上
· 该直线与向量
垂直
下述命题不成立的是()
·闭区间上的连续函数必可积;
·闭区间上的有界函数必可积;
·闭区间上的单调函数必可积;
·闭区间上的逐段连续函数必可积.
设
,则
是
在
上的( )。
· 极小值点,但不是最小值点;
· 极小值点,也是最小值点;
· 极大值点,但不是最大值点;
· 极大值点,也是最大值点。
设函数
在
上连续,且在
内
,则下列不等式成立的是( )。
·
;
·
;
·
·
设
,则
( )。
·
;
·
;
·
;
·
。
设函数
,则
( )
·
·
·
·
设
,
,则当
时( )。
·
与
是同阶但不等价的无穷小;
·
与
是等价的无穷小;
·
是
的高阶无穷小;
·
是
的低阶无穷小。
函数y=f(x),在
处,下列结论正确的是( )
· 若函数在
处连续,则函数在该点一定可导。
· 若函数在
处可导,则函数在该点一定连续。
· 若函数在
处不可导,则函数在该点一定不连续。
· 函数的连续与函数的可导是等价关系。
曲线
的拐点坐标是( )。
·
;
·
;
·
;
·
。
下列各对函数中相同的是
( )
· 0
·
·
· 2
对二重积分
计算过程中,必须对积分区域
进行分块的情况有( )
· 函数
在区域
上是分片函数
· 积分区域
既非
型又非
型
· 积分区域
的边界线中有分段函数
· 积分区域
的边界线全部为曲线
在
平面上与矢量
垂直的单位矢量是( )
·
·
·
·
且切线斜率为
的曲线方程是( )。·
;·
;·
;·
。设
则
在( )·
处都间断·
处都连续·
处间断,
处连续·
处连续,
处间断变量
在变化过程为( )时为无穷大量。·

·

·

·

对于空间直线方程
,下列描述正确的是( )·
都不能为零·
不能全为零· 空间点
在该直线上· 该直线与向量
垂直下述命题不成立的是()
·闭区间上的连续函数必可积;
·闭区间上的有界函数必可积;
·闭区间上的单调函数必可积;
·闭区间上的逐段连续函数必可积.
设
,则
是
在
上的( )。· 极小值点,但不是最小值点;
· 极小值点,也是最小值点;
· 极大值点,但不是最大值点;
· 极大值点,也是最大值点。
设函数
在
上连续,且在
内
,则下列不等式成立的是( )。·
;·
;·

·

设
,则
( )。·
;·
;·
;·
。设函数
,则
( )·

·

·

·

设
,
,则当
时( )。·
与
是同阶但不等价的无穷小;·
与
是等价的无穷小;·
是
的高阶无穷小;·
是
的低阶无穷小。函数y=f(x),在
处,下列结论正确的是( )· 若函数在
处连续,则函数在该点一定可导。· 若函数在
处可导,则函数在该点一定连续。· 若函数在
处不可导,则函数在该点一定不连续。· 函数的连续与函数的可导是等价关系。
曲线
的拐点坐标是( )。·
;·
;·
;·
。下列各对函数中相同的是
( )· 0
·

·

· 2
对二重积分
计算过程中,必须对积分区域
进行分块的情况有( )· 函数
在区域
上是分片函数· 积分区域
既非
型又非
型· 积分区域
的边界线中有分段函数· 积分区域
的边界线全部为曲线在
平面上与矢量
垂直的单位矢量是( )·

·

·

·
