注意:此页面搜索的是所有试题
西南石油大学土木工程施工与组织(专升本)
影响滴定突跃大小因素有
·滴定程序
·浓度
·温度
·解离常数
·滴定速度
下列化合物有手性的是( );
·
·
·
·
醛、酮与肼类(H2N-NH2等)缩合的产物叫做( )。
·羟基腈
·醛(或酮)肟
·羟胺
·腙
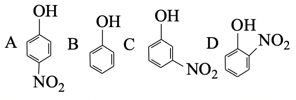
下列有机物
的硝化活性最大的是( ).
·A
·B
·C
·D
把CH3CH=CHCHO氧化为CH3CH=CHCOOH应取用的氧化剂是( )。
·KMnO4碱性溶液
·托伦试剂
·K2CrO7 + H2SO4
下列化合物中,不发生碘仿反应的是( )。
·C6H5CH2CH2OH
·(CH3)2CO
·CH3CH2OH
·CH3CHOHCH2CH3
CH3CHO和NaHSO3饱和溶液作用生成白色沉淀的反应属于下列( )类型的反应。
·亲电加成
·亲电取代
·亲核加成
·亲核取代
下列化合物
酸性最弱的是( )
·A
·B
·C
·D
下列醇与卢卡斯试剂反应活性最高的是( )
·CH3CH2CH2CH2OH
·CH3CH(OH)CH2CH3
·(CH3)2CHCH2OH
·(CH3)3COH
下列化合物中,与丙烯醛发生Diels-Alder反应最活泼的是( )。
·
·
·<img src="https://s3.cn-north-1.amazonaws.com.cn/qingshuxuetang/examination/imgUplod/154748823517601e44d0e84cd46bfbe0f7953fc70a5aeimage33.png"
在下列化合物
中,偶极矩最大的是( )。
·A
·B
·C
下列化合物
酸性最强的是( )
·A
·B
·C
·D
在下列共振结构式中,对共振杂化体贡献最大的是( )。
·
·
·<img src="https://s3.cn-north-1.amazonaws.com.cn/qingshuxuetang/examination/imgUplod/1547488235418fb43e7deaeab48c68273f42e230d6191image36.png"
下列化合物不能与
发生反应的是( )。
·
·
·
·<img src="https://s3.cn-north-1.amazonaws.com.cn/qingshuxuetang/examination/imgUplod/15474882367827d74698d7a264ce199763e9cb40acab8image52.png"
在下列化合物中,熔点最高的是( )。
·
·
·<img src="https://s3.cn-north-1.amazonaws.com.cn/qingshuxuetang/examination/imgUplod/154748823468327e141054bbb43deb6e0b89de8e18b0dimage27.png"
·滴定程序
·浓度
·温度
·解离常数
·滴定速度
下列化合物有手性的是( );
·

·

·

·

醛、酮与肼类(H2N-NH2等)缩合的产物叫做( )。
·羟基腈
·醛(或酮)肟
·羟胺
·腙
下列有机物
的硝化活性最大的是( ).·A
·B
·C
·D
把CH3CH=CHCHO氧化为CH3CH=CHCOOH应取用的氧化剂是( )。
·KMnO4碱性溶液
·托伦试剂
·K2CrO7 + H2SO4
下列化合物中,不发生碘仿反应的是( )。
·C6H5CH2CH2OH
·(CH3)2CO
·CH3CH2OH
·CH3CHOHCH2CH3
CH3CHO和NaHSO3饱和溶液作用生成白色沉淀的反应属于下列( )类型的反应。
·亲电加成
·亲电取代
·亲核加成
·亲核取代
下列化合物
酸性最弱的是( )·A
·B
·C
·D
下列醇与卢卡斯试剂反应活性最高的是( )
·CH3CH2CH2CH2OH
·CH3CH(OH)CH2CH3
·(CH3)2CHCH2OH
·(CH3)3COH
下列化合物中,与丙烯醛发生Diels-Alder反应最活泼的是( )。
·
·
·<img src="https://s3.cn-north-1.amazonaws.com.cn/qingshuxuetang/examination/imgUplod/154748823517601e44d0e84cd46bfbe0f7953fc70a5aeimage33.png"在下列化合物
中,偶极矩最大的是( )。·A
·B
·C
下列化合物
酸性最强的是( )·A
·B
·C
·D
在下列共振结构式中,对共振杂化体贡献最大的是( )。
·
·
·<img src="https://s3.cn-north-1.amazonaws.com.cn/qingshuxuetang/examination/imgUplod/1547488235418fb43e7deaeab48c68273f42e230d6191image36.png"下列化合物不能与
发生反应的是( )。·
·
·
·<img src="https://s3.cn-north-1.amazonaws.com.cn/qingshuxuetang/examination/imgUplod/15474882367827d74698d7a264ce199763e9cb40acab8image52.png"在下列化合物中,熔点最高的是( )。
·
·
·<img src="https://s3.cn-north-1.amazonaws.com.cn/qingshuxuetang/examination/imgUplod/154748823468327e141054bbb43deb6e0b89de8e18b0dimage27.png"