注意:此页面搜索的是所有试题
华北水利水电大学英语
设随机变量
的概率密度为
,则
一定满足( )。
·
·
·
设随机变量
的分布律为:
则
( )。
·
·
·
·
已知随机变量
的分布律为
则
( )
·0
·0.2
·0.35
·0.55 。
设随机变量
服从二维正态分布,其联合概率密度函数为:
,则随机变量
的数学期望
为( )。
·
·
·2
·
设
( )。
·25.6
·40
·34
·17.6 。
对于随机变量
、
,若
,则( )。
·
·
与
不独立。
设二维随机变量
的概率分布为
,则
( )。
·3
·
·2
·
设
与
相互独立且方差分别为3和2,则
( )。
·5
·11
·19
· 35
设
独立同分布,记
,则
必然( )。
·不独立
·独立
·相关系数为零
·相关系数不为零
设随机变量
的方差为2,则由切比雪夫不等式得
( )。
·
·
·
·
设
具有
,
,
(常数),必有( )。
·
·
·
·
设每次试验成功的概率为
,则3次独立重复试验中至少有两次成功的概率为( )
·
·
·
·
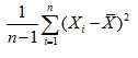
设
为来自总体
的一个样本,
为样本均值,
未知,则总体方差
的无偏估计量为( )。
·
·
·
·
假设随机变量
服从指数分布,则随机变量
的分布函数( )
·是连续函数
·至少有两个间断点
·是阶梯函数
·恰好有一个间断点
设随机变量
独立同分布,且
的分布函数为
,则
的分布函数为( )
·<img src="https://s3.cn-north-1.amazonaws.com.cn/qingshuxuetang/examination/imgUplod/1655350159933daff528ed11148e8ab5e502132221d28image130.png"
的概率密度为
,则
一定满足( )。·

·
·
设随机变量
的分布律为:
则
( )。·

·

·

·

已知随机变量
的分布律为
则
( )·0
·0.2
·0.35
·0.55 。
设随机变量
服从二维正态分布,其联合概率密度函数为:
,则随机变量
的数学期望
为( )。·

·

·2
·

设
( )。·25.6
·40
·34
·17.6 。
对于随机变量
、
,若
,则( )。·
·
与
不独立。设二维随机变量
的概率分布为
,则
( )。·3
·

·2
·

设
与
相互独立且方差分别为3和2,则
( )。·5
·11
·19
· 35
设
独立同分布,记
,则
必然( )。·不独立
·独立
·相关系数为零
·相关系数不为零
设随机变量
的方差为2,则由切比雪夫不等式得
( )。·

·

·

·

设
具有
,
,
(常数),必有( )。·

·

·

·

设每次试验成功的概率为
,则3次独立重复试验中至少有两次成功的概率为( )·

·

·

·

设
为来自总体
的一个样本,
为样本均值,
未知,则总体方差
的无偏估计量为( )。·

·

·

·

假设随机变量
服从指数分布,则随机变量
的分布函数( )·是连续函数
·至少有两个间断点
·是阶梯函数
·恰好有一个间断点
设随机变量
独立同分布,且
的分布函数为
,则
的分布函数为( )·<img src="https://s3.cn-north-1.amazonaws.com.cn/qingshuxuetang/examination/imgUplod/1655350159933daff528ed11148e8ab5e502132221d28image130.png"