注意:此页面搜索的是所有试题
华北水利水电大学英语
The boy insisted _____ what the problem was, although the others gave up.( )
·to find out
·ofinding out
·ifinding out
· finding out
There was no news; _____, she went ohoping.( )
· but
· yet
· nevertheless
· moreover
Mike works as a _____ of the owner of constructioproject iChina.( )
· represent
· representation
· representative
· representing
I have _____ misread the situatioand made the wrong decision.( )
· utter
· utterly
· utterable
· uttermost
Yesterday Tom signed a _____ with the landlady.( )
·five-year contract
·five-years contract
·five-year’s contract
·five-years’ contract
A wise mother never _____ her childreto the slightest possibility of danger.( )
· exposes
· sustains
· controls
· induces
The flight was delayed for two hours owing to _____ reasons.( )
· adaptive
· alterative
· extensive
· technical
These diseases affect childreand are highly _____ .( )
· negative
· infectious
· evident
· primary
Many of the goods they produce are not for national _____ but for export.( )
· reproduction
· service
· consumption
· population
Do you think it’s withihis _____ to follow the complicated instructions and do the job without making a mess of it( )
· mobility
· intelligence
·outlook
· capacity
Though living idifferent countries, the two families have _____ close links.( )
· maintained
· confronted
· managed
· compromised
The project wasted a _____ amount of time and money.( )
· consider
· considerate
· considerable
· consideration
We should give _____ to our health.( )
· priority
· privacy
· property
· primary
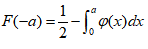
设随机变量
的密度函数为
,且
,
是
的分布函数,则对任意实数
有( )。
·
·
·
·
设随机变量
,则随着
的增大,概率
( )。
·保持不变
·单调减少
·单调增加
·增减不定。
·to find out
·ofinding out
·ifinding out
· finding out
There was no news; _____, she went ohoping.( )
· but
· yet
· nevertheless
· moreover
Mike works as a _____ of the owner of constructioproject iChina.( )
· represent
· representation
· representative
· representing
I have _____ misread the situatioand made the wrong decision.( )
· utter
· utterly
· utterable
· uttermost
Yesterday Tom signed a _____ with the landlady.( )
·five-year contract
·five-years contract
·five-year’s contract
·five-years’ contract
A wise mother never _____ her childreto the slightest possibility of danger.( )
· exposes
· sustains
· controls
· induces
The flight was delayed for two hours owing to _____ reasons.( )
· adaptive
· alterative
· extensive
· technical
These diseases affect childreand are highly _____ .( )
· negative
· infectious
· evident
· primary
Many of the goods they produce are not for national _____ but for export.( )
· reproduction
· service
· consumption
· population
Do you think it’s withihis _____ to follow the complicated instructions and do the job without making a mess of it( )
· mobility
· intelligence
·outlook
· capacity
Though living idifferent countries, the two families have _____ close links.( )
· maintained
· confronted
· managed
· compromised
The project wasted a _____ amount of time and money.( )
· consider
· considerate
· considerable
· consideration
We should give _____ to our health.( )
· priority
· privacy
· property
· primary
设随机变量
的密度函数为
,且
,
是
的分布函数,则对任意实数
有( )。·

·

·

·

设随机变量
,则随着
的增大,概率
( )。·保持不变
·单调减少
·单调增加
·增减不定。