注意:此页面搜索的是所有试题
佳木斯大学语言治疗学

·偶函数
·奇函数
·非奇非偶函数
·奇偶函数

·-1.0
·1.0
·不存在

·-10.0
·-14.0
·

·

微分方程的积分因子是唯一的。( )
·正确
·错误
(单项选择)

·

·

·

·

(单项选择)

·1
·-1
·

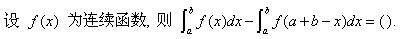
(单项选择)

·

·

·

·

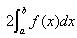
(单项选择)

·

·

·

·

(单项选择)

·-1
·1
·0
·不存在
(单项选择)

·

·

·

·

以毛泽东为主要代表的中国共产党人提出了要从新民主主义社会向社会主义社会过渡的设想。()
·正确
·错误
在新中国成立初期,即1949年—1952年,社会的主要矛盾是中国共产党领导的全国各族人民同帝国主义、封建主义和国民党残余势力之间的矛盾。()
·正确
·错误
走中国特色社会主义政治发展道路,必须坚持党的领导、人民当家做主、依法治国的统一。
·正确
·错误
党的十七大报告提出,转变经济发展方式要做到“两个坚持”。“两个坚持”是指( )。
·坚持走中国特色新型工业化道路
·坚持以经济建设为中心
·坚持四项基本原则
·坚持扩大国内需求特别是消费需求的方针
2012年11月29日,习近平在参观《复兴之路》展览时,首次提出了中国梦,回顾了中华民族的昨天,展示了中华民族的今天,宣示了中华民族的明天,其中引用的诗句是( )
·天若有情天亦老
·雄关漫道真如铁
·人间正道是沧桑
·长风破浪会有时