注意:此页面搜索的是所有试题
佳木斯大学语言治疗学
认为整体大于部分的相加,主张从整体上来研究心理现象的心理学派别是()。
·人本心理学
·认知心理学
·社会心理学
·格式塔心理学
认知心理学把人看成是一个信息加工者,认为环境因素要通过()来实现支配外部行为。
·心理特征
·情感过程
·认知过程
·意志过程
看完《西游记》后,脑中产生一个"栩栩如生"的孙悟空的形象的心理过程是( )。
·再造想象
·创造想象
·幻想
·表象形成
作家在头脑中形成小说中人物形象的心理过程叫:( )
·表象
·再造想象
·创造想象
·幻想
人本主义心理学主张( )
·研究人的行为及影响因素
·研究影响及决定人行为的潜意识
·研究区别于动物的动机、欲望、生命意义、情感等复杂体验
·研究人的感知,记忆,思维等信息加工过程及影响因素
任意微分方程都有通解。( )
·正确
·错误
微分方程的通解中包含了它所有的解。( )
·正确
·错误
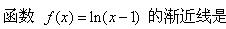
函数
是微分方程
的解。( )
·正确
·错误
函数
是微分方程
的解。( )
·正确
·错误
微分方程
的通解是
(
为任意常数)。( )
·正确
·错误

·正确
·错误

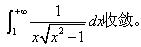
.
·正确
·错误

·正确
·错误

·正确
·错误

·3.0
·1.0
·-1.0
·人本心理学
·认知心理学
·社会心理学
·格式塔心理学
认知心理学把人看成是一个信息加工者,认为环境因素要通过()来实现支配外部行为。
·心理特征
·情感过程
·认知过程
·意志过程
看完《西游记》后,脑中产生一个"栩栩如生"的孙悟空的形象的心理过程是( )。
·再造想象
·创造想象
·幻想
·表象形成
作家在头脑中形成小说中人物形象的心理过程叫:( )
·表象
·再造想象
·创造想象
·幻想
人本主义心理学主张( )
·研究人的行为及影响因素
·研究影响及决定人行为的潜意识
·研究区别于动物的动机、欲望、生命意义、情感等复杂体验
·研究人的感知,记忆,思维等信息加工过程及影响因素
任意微分方程都有通解。( )
·正确
·错误
微分方程的通解中包含了它所有的解。( )
·正确
·错误
函数
是微分方程
的解。( )·正确
·错误
函数
是微分方程
的解。( )·正确
·错误
微分方程
的通解是
(
为任意常数)。( )·正确
·错误

·正确
·错误

.·正确
·错误

·正确
·错误

·正确
·错误

·3.0
·1.0
·-1.0