注意:此页面搜索的是所有试题
佳木斯大学语言治疗学
设
( )。
·4;
·3;
·2;
·1。
已知连续函数
为偶函数且
( )。
·8
·10
·5
·0
( )。
·2;
·6;
·0;
·3。
曲线
,
与坐标轴围成的面积是( )。
·0;
·3;
·1;
·2。
( )。
·0
·2
·1
·3
函数
在点
处连续是它在
处极限存在的( )
· 充分条件
· 充分必要条件
· 必要条件
· 既非充分也非必要条件
( )
·-1
·3
· 5
· 不存在
极限
的值为( )
· -1
· 1
·
· 不存在
设
( )
· 1
· 2
· 3
· 4
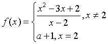
设
在
处连续,则
( )
· -1
· 0
· 1
· 2
( )
· 1
· -1
· 0
·
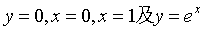
由直线
所围成的图形面积( )
·
·
·
·
在SketchUp中,如何选择多个模型元素
· 点击并拖动以选择多个元素
· 在菜单栏中选择“选择”→“多选”
· 使用快捷键 Ctrl+单击(Windows)或Command+单击(Mac)选择多个元素
· 以上方法均可选择多个模型元素。
在SketchUp中,如何将一个模型组件的材质替换为另一种材质
· 点击并拖动以替换材质
· 在菜单栏中选择“窗口”→“材质”→“编辑”
· 使用快捷键 M 打开材质库,选择新的材质并应用到组件上
在SketchUp中,如何隐藏模型中的某些元素
· 点击并拖动以隐藏某些元素
· 在菜单栏中选择“查看”→“隐藏”→“隐藏特定”
· 使用快捷键 H 隐藏某些元素(Windows)或 Command+H(Mac)隐藏特定元素。
( )。·4;
·3;
·2;
·1。
已知连续函数
为偶函数且
( )。·8
·10
·5
·0
( )。·2;
·6;
·0;
·3。
曲线
,
与坐标轴围成的面积是( )。·0;
·3;
·1;
·2。
( )。·0
·2
·1
·3
函数
在点
处连续是它在
处极限存在的( )· 充分条件
· 充分必要条件
· 必要条件
· 既非充分也非必要条件
( )·-1
·3
· 5
· 不存在
极限
的值为( )· -1
· 1
·

· 不存在
设
( )· 1
· 2
· 3
· 4
设
在
处连续,则
( )· -1
· 0
· 1
· 2
( )· 1
· -1
· 0
·

由直线
所围成的图形面积( )·

·

·

·

在SketchUp中,如何选择多个模型元素
· 点击并拖动以选择多个元素
· 在菜单栏中选择“选择”→“多选”
· 使用快捷键 Ctrl+单击(Windows)或Command+单击(Mac)选择多个元素
· 以上方法均可选择多个模型元素。
在SketchUp中,如何将一个模型组件的材质替换为另一种材质
· 点击并拖动以替换材质
· 在菜单栏中选择“窗口”→“材质”→“编辑”
· 使用快捷键 M 打开材质库,选择新的材质并应用到组件上
在SketchUp中,如何隐藏模型中的某些元素
· 点击并拖动以隐藏某些元素
· 在菜单栏中选择“查看”→“隐藏”→“隐藏特定”
· 使用快捷键 H 隐藏某些元素(Windows)或 Command+H(Mac)隐藏特定元素。