注意:此页面搜索的是所有试题
西南石油大学土木工程施工与组织(专升本)
在搜索时常有类似文字,从广告形势来说,它属于()
·弹出式广告
·按钮广告
·搜索引擎广告
·文本链接广告
下面哪种推广方式是按成交收费的()
·淘宝客
·淘宝直通车
·满就送
·店铺优惠券
下面哪项平台属于网络直销渠道模式()
·戴尔网站
·淘宝网
·京东商城
·阿里巴巴
SEM的中文含义是()
·搜索引擎营销
·搜索引擎优化
·供应资源管理
·客户关系管理
严重肝功能不全的病人不宜用 ( )
· 氢化可的松
· 甲泼尼龙
· 泼尼松
· 地塞米松
庆大霉素+青霉素G( )
· 增加肾毒性
· 增加耳毒性
· 增强抗菌作用,扩大抗菌谱
· 增加神经肌肉阻断作用,可致呼吸抑制
抗结核药联合用药的目的是( )
· 扩大抗菌谱
· 增强抗菌力
· 延缓耐药性产生
· 减少毒性反应
化疗指数的表达方式及意义是( )
· ED50与LD50的比值,比值越大越安全
· LD50与ED50的比值,比值越大越安全
· LD50与ED50的差值,差值越大越安全
· ED50与LD50的比值,比值越小越安全
抑制细菌胞浆膜阶段的粘肽合成,阻止十肽聚合物形成或转运至胞浆膜外与受体结合的药物是( )
· 头孢菌素
· 万古霉素
· 青霉素
· 环丝氨酸
属于静止期杀菌药的是( )
· 青霉素G
· 氨基糖苷类
· 四环素
· 氯霉素
预防外因性支气管哮喘发作应选用( )
· 异丙肾上腺素
· 色甘酸钠
· 肾上腺素
· 麻黄碱
糖皮质激素大剂量突击疗法可用于: ( )
· 中毒性休克
· 肾病综合征
· 肾上腺皮质功能不全
· 再生障碍性贫血
糖皮质激素可诱发感染是由于: ( )
· 抑制免疫机制,降低机体抵抗力
· 增加病原体繁殖能力
· 对抗抗生素的作用
· 增强病原体活力
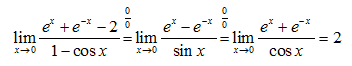
下列解题过程正确的是
·
·
·
·
·
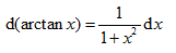
下列等式中正确的是
·
·
·
·
·
·弹出式广告
·按钮广告
·搜索引擎广告
·文本链接广告
下面哪种推广方式是按成交收费的()
·淘宝客
·淘宝直通车
·满就送
·店铺优惠券
下面哪项平台属于网络直销渠道模式()
·戴尔网站
·淘宝网
·京东商城
·阿里巴巴
SEM的中文含义是()
·搜索引擎营销
·搜索引擎优化
·供应资源管理
·客户关系管理
严重肝功能不全的病人不宜用 ( )
· 氢化可的松
· 甲泼尼龙
· 泼尼松
· 地塞米松
庆大霉素+青霉素G( )
· 增加肾毒性
· 增加耳毒性
· 增强抗菌作用,扩大抗菌谱
· 增加神经肌肉阻断作用,可致呼吸抑制
抗结核药联合用药的目的是( )
· 扩大抗菌谱
· 增强抗菌力
· 延缓耐药性产生
· 减少毒性反应
化疗指数的表达方式及意义是( )
· ED50与LD50的比值,比值越大越安全
· LD50与ED50的比值,比值越大越安全
· LD50与ED50的差值,差值越大越安全
· ED50与LD50的比值,比值越小越安全
抑制细菌胞浆膜阶段的粘肽合成,阻止十肽聚合物形成或转运至胞浆膜外与受体结合的药物是( )
· 头孢菌素
· 万古霉素
· 青霉素
· 环丝氨酸
属于静止期杀菌药的是( )
· 青霉素G
· 氨基糖苷类
· 四环素
· 氯霉素
预防外因性支气管哮喘发作应选用( )
· 异丙肾上腺素
· 色甘酸钠
· 肾上腺素
· 麻黄碱
糖皮质激素大剂量突击疗法可用于: ( )
· 中毒性休克
· 肾病综合征
· 肾上腺皮质功能不全
· 再生障碍性贫血
糖皮质激素可诱发感染是由于: ( )
· 抑制免疫机制,降低机体抵抗力
· 增加病原体繁殖能力
· 对抗抗生素的作用
· 增强病原体活力
下列解题过程正确的是
·

·

·

·

·

下列等式中正确的是
·

·

·

·

·
