注意:此页面搜索的是所有试题
西南石油大学土木工程施工与组织(专升本)
三极管与场效应管的显著区别是( )
·三极管的工作状态由电压控制,场效应管的工作状态由电流控制
·三极管的工作状态由电流控制,场效应管的工作状态由电压控制
·场效应管的输入电阻远高于三极管的输入电阻
·三极管的输入电阻远高于场效应管的输入电阻
对功率放大器的要求主要是( )
·U0高
·P0大
·功率大
·波形不失真
下列关于功效管工作状态的表述,正确的是( )
·甲类无交越失真,但效率最低
·乙类管交越失真最严重,但效率最高
·甲类管交越失真最严重,实际电路中很少采用
·互补对称功放电路一般采用甲乙类
常见的模拟运算电路有( )
·比例运算
·加减运算
·积分和微分运算
·指数和对数运算
场效应管的输出特性曲线可以分为( )
·夹断区
·恒流区
·可变电阻区
·饱和区
直流稳压电源中滤波电路的目的是()
·将交流变为直流
·将高频变为低频
·将交直流混合量中的交流成分滤掉
在读电路图时,发现有的运放处于开环状态,那么此运放所在的本级电路可能是()
·基本运算电路
·信号放大电路
·信号产生电路
·电压比较器
从结构上来看,正弦波振荡电路是一个()
·有输入信号的负反馈放大器
·没有输入信号的带选频网络的正反馈放大器
·没有输入信号的不带选频网络的正反馈放大器
正弦波振荡器的振荡频率由()而定。
·基本放大器
·反馈网络
·选频网络
在文氏桥式振荡电路中,放大电路的放大倍数必须()才符合起振条件。
·等于1/3
·大于1/3
·等于3
·大于3
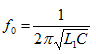
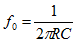
电容三点式正弦波振荡器的振荡频率为( )
·
·
·
·
振荡频率较低,一般在1MHz以内的电路是()
·变压器耦合振荡器
·文氏桥振荡器
·电感三点式振荡器
·电容三点式振荡器
整流的目是()
·将交流变为直流
·将高频变为低频
·将正弦波变为方波
在单相桥式整流电路中,如果负载电流为10 A,则流经每只二极管的电流为()
·4.5A
·5A
·9A
·10A
三端集成稳压器CW7812的输出电压是()
·12V
·5V
·9V
·三极管的工作状态由电压控制,场效应管的工作状态由电流控制
·三极管的工作状态由电流控制,场效应管的工作状态由电压控制
·场效应管的输入电阻远高于三极管的输入电阻
·三极管的输入电阻远高于场效应管的输入电阻
对功率放大器的要求主要是( )
·U0高
·P0大
·功率大
·波形不失真
下列关于功效管工作状态的表述,正确的是( )
·甲类无交越失真,但效率最低
·乙类管交越失真最严重,但效率最高
·甲类管交越失真最严重,实际电路中很少采用
·互补对称功放电路一般采用甲乙类
常见的模拟运算电路有( )
·比例运算
·加减运算
·积分和微分运算
·指数和对数运算
场效应管的输出特性曲线可以分为( )
·夹断区
·恒流区
·可变电阻区
·饱和区
直流稳压电源中滤波电路的目的是()
·将交流变为直流
·将高频变为低频
·将交直流混合量中的交流成分滤掉
在读电路图时,发现有的运放处于开环状态,那么此运放所在的本级电路可能是()
·基本运算电路
·信号放大电路
·信号产生电路
·电压比较器
从结构上来看,正弦波振荡电路是一个()
·有输入信号的负反馈放大器
·没有输入信号的带选频网络的正反馈放大器
·没有输入信号的不带选频网络的正反馈放大器
正弦波振荡器的振荡频率由()而定。
·基本放大器
·反馈网络
·选频网络
在文氏桥式振荡电路中,放大电路的放大倍数必须()才符合起振条件。
·等于1/3
·大于1/3
·等于3
·大于3
电容三点式正弦波振荡器的振荡频率为( )
·

·

·

·

振荡频率较低,一般在1MHz以内的电路是()
·变压器耦合振荡器
·文氏桥振荡器
·电感三点式振荡器
·电容三点式振荡器
整流的目是()
·将交流变为直流
·将高频变为低频
·将正弦波变为方波
在单相桥式整流电路中,如果负载电流为10 A,则流经每只二极管的电流为()
·4.5A
·5A
·9A
·10A
三端集成稳压器CW7812的输出电压是()
·12V
·5V
·9V