注意:此页面搜索的是所有试题
华北水利水电大学英语

·正确
·错误
扩张性财政政策包括增加政府支出和增税。()
·正确
·错误
企业财务报表和个人财务报表都要求严格按照固定的格式,以便于审计和更好地给信息需要者提供信息。()
·正确
·错误
函数的最值点一定在其极值点处. ( )
·正确
·错误
经济增长和经济发展所研究的问题是一样的。()
·正确
·错误
向量组a1,a2,...,as线性相关的充分必要条件是:( )
·

·

·

·

关于中位数,下列理解错误的有( )。
·

·

·

·

(单选题)假如生产某种商品所需原材料的价格上升,则这种商品( )。
·需求曲线向左方移动
·供给曲线向左方移动
·需求曲线向右方移动
·供给曲线向右方移动
)

·

·

·

·

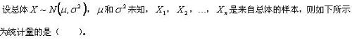
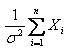
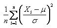
设
( )·

·

·

·

当其他条件不变时,汽车的价格上升,将导致( )
·汽车需求量的增加
·汽车供给量的增加
·汽车需求的增加
·汽车供给的减少
设
,则
=( )·

·

·

·

新古典模型认为,在长期中实现均衡增长的条件是储蓄全部转化为投资。()
·正确
·错误
只要商品消费数量连续增加,消费者得到的边际效用就一定减少。( )
·对
·错

·正确
·错误